서울 잠실 래미안 아이파크 입주자모집 분양공고가 10월 11일(금)에 공지되었습니다. 청약 당첨 시, 주변 시세 대비 5억 원 이상 차익 실현에 대한 기대로 청약 신청에 관심이 많은데요. 이 글에서는 잠실 래미안 아이파크 분양가 평면도 청약 일정 등 정보를 총정리해 보도록 하겠습니다.

목차
잠실 래미안 아이파크 청약
서울시 송파구에 위치한 잠실 래미안 아이파크는 1980년대 준공된 잠실 진주아파트를 재건축하여 공급하는 아파트입니다. 잠실권역에 20년 만에 들어서는 브랜드 아파트로, 분양가 상한제가 적용되어 주변 아파트와 시세 비교 시 경쟁력 있는 분양가로 공급됩니다.
래미안 아이파크가 위치한 곳을 지도 약도로 살펴보면 잠실 초·중·고 학교와 학원이 인근에 있고, 송파구의 주요 인프라를 이용하기 좋은 곳에 위치하고 있습니다. 특히, 단지 근처에는 지하철 몽촌토성역(8호선)과 잠실역(2·8호선), 한성백제역(9호선)이 있고, 주변에 올림픽대로와 잠실대교가 있어 강남과 서울 지역 어디든 이동하기 편한 교통 인프라를 지니고 있습니다.

이러한 위치 조건 등 사유로 주변 입지가 우수하다는 평가를 받고 있는데요. 지금부터는 래미안 아이파크 분양 청약 기본 개요와 주택 유형 및 면적별 일반 분양 세대수에 대해 알아보도록 하겠습니다.
청약개요

▶ 주소 : 서울특별시 송파구 신천동 20-4번지 일대
▶ 세대정보 : 총 2,678세대 (일반분양 : 589세대)
▶ 규모 : 총 23개 동(지하 4층 ~ 지상 35층)
▶ 입주예정시기 : 2025년 12월
일반분양
일반분양 전체 589세대 중, 주택 전용 면적 43㎡A타입이 19%, 84㎡D타입이 30%입니다. 이 두 타입이 총 49% 비율로 거의 절반의 세대수를 차지하고 있습니다. 주택 전체 타입과 면적별 편성된 세대수는 아래의 표를 참고하시기 바랍니다.
| 주택유형 | 전용면적 | 세대수 | 비율 |
| A타입 | 43㎡ | 114세대 | 19% |
| A타입 | 59㎡ | 49세대 | 8% |
| 74㎡ | 11세대 | 2% | |
| 84㎡ | 76세대 | 13% | |
| 104㎡ | 6세대 | 1% | |
| B타입 | 59㎡ | 18세대 | 3% |
| 74㎡ | 10세대 | 2% | |
| 84㎡ | 5세대 | 1% | |
| 104㎡ | 4세대 | 1% | |
| C타입 | 59㎡ | 51세대 | 9% |
| 74㎡ | 14세대 | 2% | |
| 84㎡ | 24세대 | 4% | |
| 104㎡ | 12세대 | 2% | |
| D타입 | 84㎡ | 177세대 | 30% |
| 104㎡ | 3세대 | 1% | |
| E타입 | 84㎡ | 15세대 | 3% |
| 총합계 | 589세대 | 100% | |
분양일정
잠실 래미안 아이파크 청약은 특별공급을 시작으로, 일반분양 1~2순위까지 청약 접수를 모집합니다. 이후, 10월 말 당첨자 발표를 하고 서류접수와 계약체결을 11월 중순까지 하는 분양일정으로 계획돼 있습니다.

| 구분 | 청약 일정 |
| 입주자 모집공고 | 2024년 10월 11일(금) |
| 특별공급 모집 | 2024년 10월 21일(월) |
| 일반공급 1순위 | 2024년 10월 24일(목) |
| 당첨자 발표일 | 2024년 10월 30일(수) |
| 서류접수 | 2024년 11월 3일(일) ~11월 7일(목) |
| 계약체결 | 2024년 11월 12일(화) ~ 11월 15일(금) |
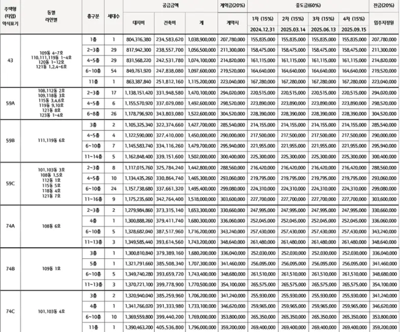
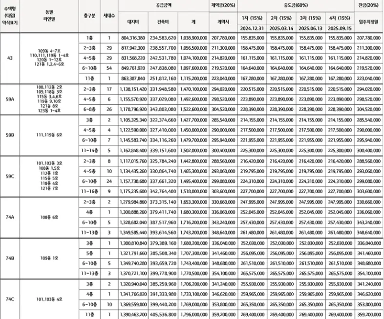
잠실 래미안 아이파크 분양가
잠실 래미안 아이파크 분양가는 3.3㎡(1평) 당 약 5,409만 원의 가격입니다. 이는 분양가 상한제를 적용할 경우, 주변 아파트 시세 대비 5억 원의 시세 차익을 얻을 수 있는 경쟁력 있는 가격입니다.
주택 타입과 층에 따른 분양가는 43㎡타입 10억 3천만 원 ~11억 1천만 원, 59㎡타입 14억 2천 만 원 ~ 15억 2천만 원, 74㎡타입 16억 5천만 원 ~ 17억 9천만 원, 84㎡타입 17억 4천만 원 ~ 19억 원, 104㎡타입 21억 6천만 원 ~ 22억 5천만 원으로 형성되어 있으며 분양가는 계약금 20%, 중도금 60%, 잔금 20%로 순차적으로 납부해야 합니다.


위의 분양가와 별개로 발코니 확장여부와 시스템 에어컨 설치 옵션에 따라 추가되는 가격은 별도로 생각하셔야 합니다. 발코니 확장비와 시스템 에어컨가격은 한국부동산원 청약홈에서 제공하는 아래의 캡쳐 이미지를 참고하세요.


잠실 래미안 아이파크 평면도
잠실 래미안 아이파크 평면도를 주택 공급 타입별 확장형과 기본형으로 구분하여 알아보도록 하겠습니다. 이러한 타입별 평면도로 설계된 아파트가 몇 동이고, 단지에서 동 배치 위치가 어디인지도 사진으로 확인해 보시기 바랍니다.
43㎡A 평면도



59㎡A 평면도



59㎡B 평면도



59㎡C 평면도/span>



74㎡A 평면도



74㎡B 평면도



74㎡C 평면도



84㎡A 평면도



84㎡B 평면도



84㎡C 평면도



84㎡D 평면도



84㎡E 평면도



104㎡A 평면도



104㎡B 평면도



104㎡C 평면도



104㎡D 평면도



평면도 볼 때 유의사항
- 본 평면도는 이해를 돕기 위해 이미지로 일부 변경될 수 있습니다.
- 평면도에 있는 발코니는 사용성에 의해 단차가 추가될 수 있으며, 기존 단차 위치도 변경 가능성이 있습니다.
- 실외기실이 있는 공간의 벽은 파괴가 쉬운 경량 구조로 설계되어, 경계벽에는 대피에 영향을 미치는 물건 적치는 불가합니다.
지금까지 잠실 래미안 아이파크 분양가와 평면도 그리고 청약 분양 일정 등에 대해 살펴보았습니다. 최근 9월 청약 신청 모집하였던 청담르엘의 경쟁률이 높았던 만큼, 이번 청약도 20년 만의 송파구 잠실 신축 분양으로 높은 경쟁률이 예상됩니다. 시세차익 5억의 기회를 놓치지 않고 청약 신청을 하시기 바랍니다.